unSafe.sh - 不安全
我的收藏
今日热榜
公众号文章
导航
Github CVE
Github Tools
编码/解码
文件传输
Twitter Bot
Telegram Bot
Search
Rss
黑夜模式
React2Shell CVE-2025-55182 复现
文章描述了如何通过npx和npm命令启动一个Next.js应用,并提供了一个HTTP POST请求示例,后续将分析相关漏洞原理。...
2025-12-8 03:51:59 | 阅读: 24 |
收藏
|
print("") - www.o2oxy.cn
nextjs
whoami
mainmodule
formdata
pwnable orw
文章描述了一个栈溢出漏洞利用场景。程序通过seccomp限制了系统调用为open、read和write。攻击者构造shellcode利用这些调用读取flag文件。...
2025-8-5 15:8:47 | 阅读: 14 |
收藏
|
print("") - www.o2oxy.cn
shellcode
0011
0x15
orw
seccomp
SQL注入之语义分析
文章描述了SQL注入检测系统的实现过程。系统通过红黑树存储解析器模块,并初始化这些模块。每个解析器模块由detect_parser结构体定义,包含多个函数指针用于操作入口。初始化过程中创建并配置检测实例,并为每个上下文分配内存和设置初始状态。词法分析使用re2c生成器处理输入数据,生成Token进行语法分析。文章指出当前实现存在误报率高、性能不足等问题,并建议改进措施如增加评分机制和优化规约冲突处理。...
2025-5-12 13:12:40 | 阅读: 4 |
收藏
|
print("") - www.o2oxy.cn
lexer
re2c
instring
tok
yycursor
PHP 词法分析/语法分析
文章描述了PHP执行流程中的词法分析器(Lexer)和语法解析器的工作机制。Lexer通过状态机解析源代码生成Token,并初始化Lexer实例以处理输入数据。语法解析器将Token规约到抽象语法树(AST)节点,展示了从Token到AST的完整过程。...
2025-5-12 13:2:29 | 阅读: 6 |
收藏
|
print("") - www.o2oxy.cn
lex
规约
php
tkn
Python 实现LL(1) 文法
文法如下:文法:1: lexp -> atom | list2: atom -> number | identifier3: list -> (lexp-s...
2025-1-5 12:52:49 | 阅读: 1 |
收藏
|
print("") - www.o2oxy.cn
lexp
seq2
lparen
lexer
rparen
LL(1) 算法
一、LL(1) 文法介绍第一个L代表 分析时从左向右扫描第二个L代表分析过程将最左推导 1 代表只需要向右看一个符号二、FIRST 集合FIRST(N)...
2025-1-4 16:43:33 | 阅读: 3 |
收藏
|
print("") - www.o2oxy.cn
β1
终结
终结符
推导
βn
语法分析 | 递归下降分析算法
对于给定的文法G如下:S -> N V NN -> s | t | g | wV -> e | d可以简单的使用parse_S paser...
2025-1-2 13:37:56 | 阅读: 2 |
收藏
|
print("") - www.o2oxy.cn
sentence
文法
算术
isdigit
paser
词法分析 | 自顶向下分析算法
首先我们给定文法G如下:S -> N V NN -> s | t | g | wV -> e | d需要推导出句子s如下:g d w使...
2025-1-1 15:22:51 | 阅读: 3 |
收藏
|
print("") - www.o2oxy.cn
grammar
sentence
文法
index2
productions
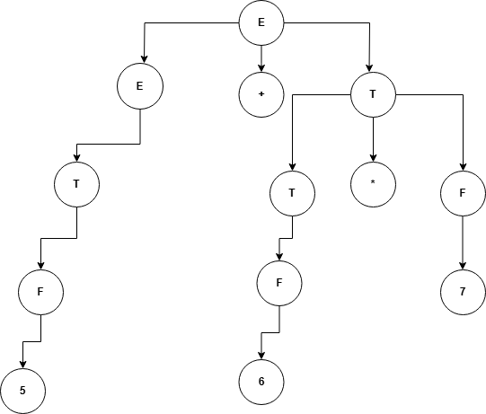
词法分析 | 分析树和二义性文法
分析树1、推导可以表达成树状的形状结构 (和推导的顺序无关)2、特点 一、树中的每个内部节点代表非终结符 二、每个叶子节点代表终结符...
2024-12-16 14:57:9 | 阅读: 2 |
收藏
|
print("") - www.o2oxy.cn
推导
二义
终结符
终结
文法
语法分析-上下文无关文法简单理解
一个上下文无关文法包括:一个字符集、一个变元集合以及一个产生式集合,并且变元集合中有一个变元被称为初始变元。所谓产生式就是 S→aSb 这样的,由一个变元变成变元和字...
2024-12-16 13:28:23 | 阅读: 2 |
收藏
|
print("") - www.o2oxy.cn
grammar
终结
文法
终结符
推导
词法分析 | DFA 的最小化
还是已获得的a(b|c)* 为例子已经获取到了这样一个的DFA的。这样的一个DFA可以通过Hopcroft 算法得到更为简单的一个DFAHopcroft 算...
2024-12-15 06:34:42 | 阅读: 2 |
收藏
|
print("") - www.o2oxy.cn
q1
q0
q2
q4
q5
NFA转换为DFA 构造子集算法
如果需要将NFA转为DFA 需要如下几个步骤1、消除ε-跃迁2.在单个输入字符上从一个状态进行多次转换。NFA状态的操作操作...
2024-12-14 12:36:5 | 阅读: 5 |
收藏
|
print("") - www.o2oxy.cn
nfa
q2
n6
n4
n9
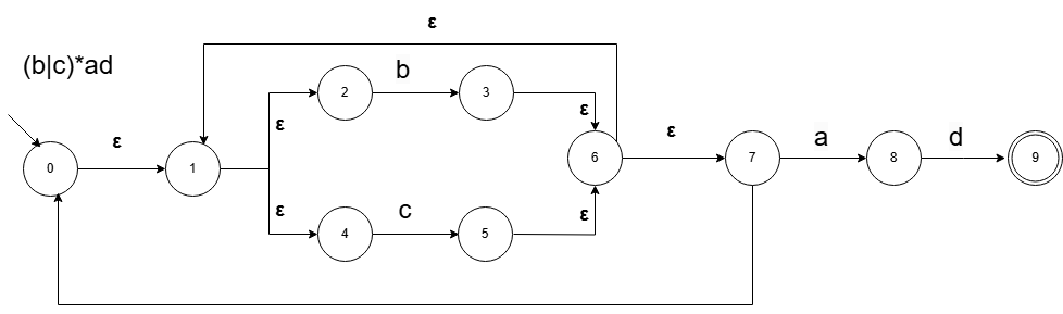
词法分析 | RE 转化成 NFA Thompson 算法
Thompson 算法基于对 RE 的结构做归纳对基本的 RE 直接构造对复合的 RE 递归构造如图。举例出5种方式如a(b|c)* 这样的怎么构造...
2024-12-13 16:3:31 | 阅读: 2 |
收藏
|
print("") - www.o2oxy.cn
明天
睡觉
thompson
编译原理 – DFA 简单实现
DFA 确定状态有限自动机NFA 非确定状态有限自动机目标实现如下的简单DFA的实现代码如下:''' DFA 的实现...
2024-12-13 14:22:37 | 阅读: 1 |
收藏
|
print("") - www.o2oxy.cn
dfa
自动机
strs
nfa
bbbbbbabca
Python 实现极简小编译器编译程序1+2+3到栈式计算机
最近开始学习编译原理的课程:https://www.bilibili.com/video/BV16h411X7JY/任务一、编译1+2+3到栈式计算机 栈式计算机有俩条指...
2024-12-12 22:45:38 | 阅读: 7 |
收藏
|
print("") - www.o2oxy.cn
rigth
traverse
指令
二叉树
遍历
pwnable.tw start
题目地址:https://pwnable.tw/challenge/#1一、checksec pwnable.tw$ checksec start[*] '/home...
2024-12-1 21:22:42 | 阅读: 5 |
收藏
|
print("") - www.o2oxy.cn
pwnable
tw
shellcode
payload
pwndbg
pwnable.tw tcache_tear
这道题对于初学的我来说花了几个小时去理解。利用到的知识点如下:1.使用tcache dup实现任意地址写2.使用unsorted bin 双向链表特性获取到unsor...
2024-12-1 13:18:5 | 阅读: 8 |
收藏
|
print("") - www.o2oxy.cn
chk
tear
bss
unsorted
3ubuntu1
【堆的简单的uaf】pwnable.tw hacknote
作者: print("") 分类: PWN 发布时间: 2024-11-28 23:39 阅读次数: 23 次...
2024-11-28 23:39:25 | 阅读: 0 |
收藏
|
print("") - www.o2oxy.cn
readgsdword
0x14u
hacknote
p32
804a04c
PHP CGI Windows平台远程代码执行漏洞(CVE-2024-4577)复现
看了一下这个就是CVE-2012-1823 的绕过、但是这个绕过需要是繁体中文、简体中文、日文 这三个的系统。首先回归一下CVE-2012-1823 https:/...
2024-6-7 20:36:36 | 阅读: 88 |
收藏
|
print("") - www.o2oxy.cn
php
绕过
putenv
xampp
prepend
CVE-2024-2961 glibc API Bug 利用
iconv()API当PHP调用iconv的时候会调用Glibc 的APi 这个api的如下:iconv_t iconv_open(const char *tocod...
2024-5-28 17:2:44 | 阅读: 29 |
收藏
|
print("") - www.o2oxy.cn
iconv
ann
outptr
escseq
缓冲区
Previous
1
2
3
4
5
6
7
8
Next