每周文章分享-117
每周文章分享2023.07.17-2023.07.23标题: Autonomous Cooperative Flocking for Heterogeneous Unmanned Aerial Veh 2023-7-22 05:18:48 Author: 网络与安全实验室(查看原文) 阅读量:52 收藏

每周文章分享

2023.07.17-2023.07.23

标题: Autonomous Cooperative Flocking for Heterogeneous Unmanned Aerial Vehicle Group

期刊: IEEE Transactions on Vehicular Technology, vol. 70, no. 12, pp. 12477-12490, Dec. 2021.

作者: Jiehong Wu; Yuanzhe Yu; Jian Ma; Jinsong Wu; Guangjie Han; Junling Shi; Lijun Gao

分享人: 河海大学——王云龙

01

研究背景

多无人机是以多架无人机(UAV)协同技术为代表的完整系统。无人机现已广泛应用于航拍、测绘、军事等各个领域,但由于资源和能力有限,单架无人机无法满足复杂、挑战性任务的要求。由于多无人机系统复杂度较高,在多无人机系统场景下很难使用传统的单无人机算法。为了更好地应对复杂任务的需求,无人机群智能的概念应运而生。本文从无人机编队协同控制和物资护航的角度,解决无人机编队巡航中的护航问题。提出了一种异构无人机群(ACHF)自主协同集群算法。首先提出了护航无人机的运动控制因子,在集群过程中将护航无人机部署在运输无人机的外围。其次,提出了包含位置和角度的系统损失函数,使护航无人机尽可能均匀地部署在运输无人机的外围。

02

关键技术

本文考虑两种类型的无人机组成无人机集群。由于无人机需要从起点到任务点进行保护,主要目的是设计一种用于无人机巡航护航的异构集群算法。如图1所示,分别描述了运输无人机和护航无人机。两种类型的无人机在空间上是离散的。该系统模型可以在内层对运输无人机进行防护,在外层尽可能均匀部署护航无人机,使护航无人机能够快速发现敌方无人机。

本文的主要贡献总结如下:

1)在特定的应用背景下,提出了一种适用于两类无人机自主集群的算法。填补了目前尚无由两类无人机组成的异构无人机算法的空白。

2)引入了气流对无人机集群算法的影响,提出了一种修正气流环境下集群无人机轨迹的方法,用于保证无人机在微风条件下也能形成目标无人机集群。

图1  护航无人机系统。(a) 多架无人机。(b) 无人机组

03

算法介绍

本文提出的算法模型是由两种类型的无人机组成的离散时间系统,包括m架护航自主无人机和n架运输自主无人机。两类无人机的初始位置、速度和方向随机分布。所有无人机在二维(三维)空间内自由运动,平面区域(空间区域)设置有周期性边界条件。无人机的速度恒定,运动方向根据其位置与邻居之间的相互作用进行更新。

1. 集群算法

根据雷诺三机制,每架无人机都需要与其他无人机保持一定距离,以避免碰撞。最近,Zhang 等人提出了一种将信号传输距离视为对准力的方法,而排斥力由安全距离确定以避免碰撞。这允许将通信距离应用于该原理。集群算法如下:

图2  集群模型

1)吸引力::UAV_i在时间t的位置可以表示为。如图3所示,外圈代表UAV1的通信半径。当UAV2飞到范围内时,可以与UAV1通信。内层圆圈代表UAV1的安全碰撞范围。根据雷诺三原理,当无人机飞到该范围内时,可能会与UAV1发生碰撞,应尽量避免。当无人机飞到UAV1的通信范围内时,它们会受到UAV1的吸引力和速度校准的影响,以确保无人机群保持集中。由于UAV3、UAV4、UAV5在UAV1通信范围内,在UAV1通信范围之外避免碰撞,无人机会被UAV1吸引,对应F1、F3的作用力,和图3中的F4分别可以使无人机不断地向UAV1靠拢,达到聚集的效果。当无人机处于UAV1的通信外围且处于碰撞范围内时,不受引力影响。在时间t的吸引力系数可以表示为

其中d_safe和r_i分别表示两架无人机之间的安全避碰范围和无人机i的通信范围。eta_ij(t)表示无人机i与无人机j的距离在d_safe与r_i之间时无人机i的吸引力系数。

2)对准力:如图3所示,当其他无人机飞到UAV1的通信范围内时,这些无人机可以与UAV1通信。这样,它们是一个整体,所以速度需要不断接近,以达到整体运动的目的。速度对准力是无人机被吸引到目标点时,使无人机速度与通信距离相匹配,t时刻的对准力可定义为:

3)排斥力:在无人机群航过程中,无人机需要避免相互碰撞是一个临界点,因此无人机必须保证安全飞行和两架无人机之间的无人机排斥力。如图3所示,当UAV2飞近UAV1,飞入UAV2的安全区域时,检测到两架UAV可能相撞。因此,UAV1和UAV2应采取措施避免碰撞使它们彼此远离。排斥力可以定义如下:

4)聚合力:聚合向量输入可以定义为:其中,phi_o代表一个集结点。如图3所示,在无人机初始离散状态的离散情况下,需要一个集结点使所有无人机飞向该区域,以保证所有无人机在飞行过程中能够进行通信。phi_o可以解释为该组的领导者。在没有领导者的情况下,phi_o是一个集结点。

2. 护航无人机运动方程

在无人机集群的过程中,护航无人机相对于运输无人机需要部署在无人机群的外围。由于护航无人机部署在无人机群外围,当恶意入侵无人机时,必然首先入侵无人机群外围。如果在外围部署护航无人机,则可以在无人机群中保护运输无人机,起到巡航保护的作用。

图3  护航无人机运动方程

如图3(a)所示,显示了一个例子来展示护航无人机的运动方程的思路。圆心为运输无人机群的虚拟中心。在图中中心点聚合过程中,运输无人机在t时刻构建的中心点坐标可定义为:

在图3中,C表示运输无人机群的群通信范围。护航无人机在蜂拥而至时,需要控制其连续向运输无人机外围移动。由于可以计算运输无人机的虚拟中心,因此可以确定其运动的大致方向。但是,在移动过程中,护航无人机不能不受控制地向外移动。需要保证护航无人机和运输无人机之间的正常通信。

运动方程主要是将护航无人机从运输无人机群内部移动到运输无人机群边缘。因此,在集群过程中,需要找到所有不在交战无人机群边缘的无人机,然后让它们向外围移动。如图3(a)所示,M_i(t)为UAV_S1和UAV_S2之间的距离。UAV1从运输无人机群内部缓缓移动到无人机群外。在无人机群中,无人机群内的所有护航无人机向无人机群外移动,直到所有护航无人机都部署到无人机群外,算法执行结束。通过引入移动算法,群内的无人机可以在移动因子的控制下移动到无人机群的边缘。届时机动范围需要小于运输无人机群的通信范围,让护航无人机和常规运输无人机保持在一个群内。如图3(b)所示,UAV1沿d_0方向运动。加入左倾或右倾函数,保证护航无人机向外围运动时,结合后面提出的系统损失函数,可以使护航无人机分布在无人机群的边缘。同时结合代价函数的控制,可以保证护航无人机在聚合过程中均匀部署在运输无人机的外围。因此,步长可以重新定义为:

其中xi表示移动系数,决定移动的速度。A表示左右夹角。

3. 系统损失函数

讨论评估无人机群状态的系统损失函数的设计。在护航无人机运动过程中,护航无人机要尽可能均匀地部署在运输无人机的外围。因此,应测量护航无人机的均匀性,并进行角度控制。如图4所示,O代表无人机群的中心,包括护航无人机和运输无人机。

图4  角度模型

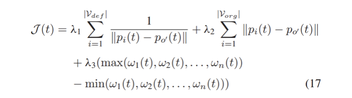
在无人机编队过程中,希望实现护航无人机统一部署在无人机编队外围,而运输无人机尽可能位于无人机编队内层。根据上述要求以及护航无人机和运输无人机的数量以及每两架护航无人机之间的夹角,设计系统在时间t的损失函数如下:

其中lambda_1、lambda_2、lambda_3分别表示护航无人机、运输无人机和护航无人机的系统损耗因子,影响集群算法的收敛速度和偏向的程度。系统损失函数包括三部分。第一部分是护航无人机越往集群中心外层移动,损失越低。该部分的目的是保证护航无人机部署在无人机群的外层。第二部分是运输无人机越向内移动,损失越小。这也是为了保证运输无人机在群内。最后一部分是确保护航无人机均匀分布在边缘。因此,当敌方无人机入侵时,它可以迅速做出反应。

4. 异构无人机群自主协同算法

算法1列出了异构无人机集群的分布式解决方案的思想。在算法1中,令T代表迭代次数。该算法的输入是两种类型无人机的位置、通信范围和安全碰撞范围。首先计算初始位置的系统损耗值。然后进入循环,直到T达到指定值。计算UAV_i在t+1时刻的位置p_i(t+1)并记录为loc。将p_i(t+1)代入公式计算系统损耗值J(t+1)。定义时间t和t+1的系统损失值loss之间的差异diff。如果差异diff≥0。将loc视为可接受的p_i(t+1)。记录当前位置p_i(t+1)和系统损失值J(t+1)。然后计算护卫无人机的下一时刻位置。最后,记录所有当前无人机位置和系统损耗值。经过有限次数的迭代,最终形成了异构无人机集群。

04

实验结果分析

1. 实验配置和参数设置

在Matlab 2018a平台进行仿真实验。集群模拟显示了无人机的运动位置。

实验中运输无人机和护航无人机的数量分别为m和n。随机生成两种类型的无人机,以遵循正态分布。由于护航无人机向外运动,运输无人机向内运动和均匀分布具有相同程度的偏差,设置lambda_1=d_safe,lambda_2=1/d_safe,lambda_3=1。初始邻接矩阵的元素均为零。无人机的速度均假设为20米/秒。假设无人机的通信范围为100米。安全碰撞范围d_safe假定为40m。

2. ACHF算法的集群效应分析

集群过程如图5所示,其中红色五角星和蓝色三角形分别代表护航无人机和运输无人机,红色线段代表无人机之间建立的通信连接。运输无人机和护航无人机的数量分别为20架和10架。集群过程在600m*600m范围内进行。

图5  两种无人机的ACHF过程。(a)步长=0。(b)步长=600。(c)步长=1200。(d)步长=2000。

最初,运输无人机和护航无人机在0~500m范围内随机生成,保证了图5(a)中无人机的离散分布。如图5(a)所示,由于不同无人机之间的初始距离可能大于通信半径,对应的无人机还没有建立通信连接。在图5(b)中,是程序600次迭代的中间结果。此时所有无人机飞向集结点,无人机从最初的无序状态逐渐收敛到有序状态。当无人机之间的距离小于通信半径时,对应的无人机建立通信连接。在图5(c)中,是1200次迭代的结果。此时,无人机集群已经形成了完全有序的状态,所有无人机都建立了相应的通信链路。如图5(d)所示,经过2000次迭代,两架无人机已经形成稳定的集群,护航无人机在外围分布更加均匀。最外面的圆代表集群的半径。集群半径小于1200次迭代的结果,说明护航无人机可以更紧密地保护集群内的运输无人机,护航效果更好。

3. 无人机飞行状态分析

图6是10架护航无人机和20架运输无人机在集结过程中的距离变化曲线图。图6(a)显示了集群中无人机之间最大距离的变化。随着集群过程中无人机之间的距离逐渐减小,防撞规则中排斥力的影响逐渐增大,无人机之间的最大距离减小。在聚集过程中,最大距离会由减小变为增大,此时距离增加的原因,也是受到防撞规则的影响。为了避免碰撞,无人机会调整彼此之间的距离。图6(b)记录了曲线随无人机间距离最小的变化。开始时,距离最小的无人机处于不安全范围内,处于不稳定状态。后续调整过程中出现较大波动,这是由于护航无人机向外围移动的对准力和引力所致。由于向外运动,必然会进入其他无人机的不安全范围。为了保证无人机的飞行安全,无人机之间的排斥力产生作用,并进行相应的调整,从而引起相应的距离波动。

图6  无人机组的平均距离。(a)无人机之间的最大距离。(b)无人机之间的最小距离。

4. 风环境下的集群算法

目前已知的集群聚类算法很少在算法中考虑气流的影响。本部分模拟单向风流和多向时序风流的部分数据,研究风环境下无人机集群算法存在的问题,实验采用不同数量的护航无人机和运输无人机在多向时序气流环境下进行。实验结果如图7所示。如图7(a)所示,运输无人机周围环绕着5架护航无人机。护航无人机均匀分布在集群边界。无论敌方无人机来自哪个角度,都能迅速做出反应。当算法收敛时,气流方向为左上角。图7(b)中所有无人机周围都有5架护航无人机。此时的气流方向是朝向左下角的。在图7(c)中,此时气流方向是朝向右上角。图7(d)中,此时气流方向是朝向右下角。

图7  两种无人机的集群效果。(a)m=15,n=5。(b)m=20,n=5。(c)m=25,n=10。(d)m=30,n=15。

5. 算法收敛率

本节分析了ACHF算法的收敛性。比较了传统的平等聚类模型VEM和SHM模型在没有噪声干扰和有噪声干扰的情况下的性能。图8给出了算法在无风流、单向风流和多向顺序方向分流环境下的近似收敛时间。当无人机初始位置为0~500m之间的随机正态分布时,速度恒定为20m/s。可以发现,无人机在有气流环境下的集群时间要比无气流环境下长。这个结论是符合实际情况的,因为当环境中有气流时,无人机需要花费更多的步来调整其位置,因此收敛时间更长。还发现单向气流环境下无人机集群的收敛时间普遍长于多向气流环境下的收敛时间。这是因为在多向气流环境下,无人机可能会在同一位置附近发生振动,其偏离距离可能不会很大。在单向气流中,无人机在一个方向的气流作用下,偏差会变得很大。调整时间越长。当有5架护航无人机和20架运输无人机时,气流序列环境中的收敛时间相对较短,这由无人机的初始位置决定。

图8  算法在不同气流条件下的收敛步长

图9显示了加入噪声后序列参数的变化。噪声通过作用于对齐项产生影响,加入噪声干扰后,没有单独分类的VEM和基于分层的DHMZ的序列参数波动较大,系统内变化更加无序。由于领导者的领导作用,DHMZ 模型在大多数情况下具有比VEM更大的阶参数。VEM趋向于在各个体之间随机移动,序列参量小,也有较大的波动。与上述两种模型相比,本文算法将无人机分为护航无人机和运输无人机。每个人都有自己的驾驶目的,往往会到达自己指定的位置。

图9  噪声下ACHF、VEM和DHMZ的序列参数变化。

05

总结

本文探讨了多架无人机的协同控制,并提出了一种新的集群模型,可以在飞行过程中形成护航无人机群。与现有的无人机单级集群的研究工作相比,本文还设计了一种基于两类无人机的护航无人机集群算法,以保护护航无人机内部的运输无人机。为了实现集群过程中护航的目标,本文提出了无人机因素的运动控制和基于无人机控制下一次迭代位置的成本评估函数,以确保护航无人机部署在无人机群的外围。系统损失函数用于确保无人机在移动过程中向目标状态移动。

==河海大学网络与安全实验室==

微信搜索:Hohai_Network

联系QQ:1084561742

责任编辑:何宇


文章来源: http://mp.weixin.qq.com/s?__biz=MzI1MTQwMjYwNA==&mid=2247497812&idx=1&sn=ce5de9f64adb77011fc51d10a79afc32&chksm=e9f13857de86b141880044c10ddb5bb3491bd44e1ee915b62521e8842cc16f82ecd9dc4de6d2#rd
如有侵权请联系:admin#unsafe.sh