团队科研成果分享
团队科研成果分享2023.06.26-2023.07.02标题: A Collaborative Path Planning Method for Heterogeneous Autonomous M 2023-7-2 05:2:21 Author: 网络与安全实验室(查看原文) 阅读量:29 收藏

团队科研成果分享

2023.06.26-2023.07.02

标题: A Collaborative Path Planning Method for Heterogeneous Autonomous Marine Vehicles

期刊: IEEE Internet of Things Journal, Early Access, June 2023.

作者: Jie Zhang, Zhengxin Wang, Guangjie Han, Yujie Qian, and Zhenglin Li.

分享人: 河海大学——李飞燕

01

研究背景

BACKGROUND

研究背景

最近的技术,如空地一体化网络(SAGIN)、无人机辅助物联网(UAV-IoT)和远程物联网(IoRT)已经证明了智能车辆在陆地和空中协作完成复杂任务的可行性。同时,实现水下物联网(IoUT)的技术要求也提出了自主海洋车辆(AMV)有效协作的必要性,这也是探索复杂海洋环境促进人类社会可持续发展的基本问题之一。因此,通过AMVs的协作实现IoUT应用的一种方法是根据不同的功能优势将不同的任务分配给异构的AMVs。如图1所示,自主式水面航行器(ASV)、自主式水下滑翔机(AUG)、自主式水下航行器(AUV)等自主式水下车辆在海底勘探中发挥着重要作用,本文重点研究了AUG与ASV的协作运动。AUG是一种浮力驱动的AMV,它可以移动重心来改变姿态,并以锯齿形轨迹在水下运动。AUG的优势是它只在改变姿态时消耗能量,这意味着与其他AMV相比,它在水下航行时使用的能量要少得多。

图1 异构AMVs协作海底勘探场景的示例。

02

关键技术

TECHNOLOGY

关键技术

在复杂的海洋勘探环境中,异构AMV之间的协作可以通过利用不同功能优势来最大化勘探效率。因此,本文提出了一种异构AMV的协同路径规划方法(CPP-HA),分别采用融合元启发式算法的水下路径规划的自主水下滑翔机(AUG)和自适应水面路径规划的自主水面车辆(ASV)。融合元启发式算法通过融合灰狼优化器(GWO)和平衡优化器(EO)来平衡算法的勘探和开发能力,并通过引入条件收敛因子来减少局部最优问题;自适应水面路径规划方法考虑了不同位置洋流的影响,指导ASV协同跟踪水下AUG在水平面内的运动。

该方法的创新和贡献如下:

1) 提出了一种用于IoUT的异构AMV的协作路径规划方法,称为CPP-HA,并且CPP-HA引入了海底勘探场景,其中AUG潜入海底收集海底数据并漂浮到一定深度,然后将该数据传输到水面ASV。与此同时,ASV分析AUG的实际水下运动,这些运动受到洋流的影响,并遵循AUG的轨迹来接收数据。

2)提出了一种AUG水下路径规划的融合元启发式算法。该算法通过在每次迭代时引入条件收敛因子对GWO算法进行了改进,并与EO算法融合,提高了每次迭代中个体的开发能力,从而减轻了局部最优,平衡了开发和勘探。

3)提出了一种自适应水面路径规划方法来实现AMV间的协同运动,其中ASV在每次交互中获取关于AUG的下一个漂浮位置的信息,并在其水平轨迹上跟随它。该方法的特点是ASV根据AUG的水平速度来确定其速度,AUG的水平速度受不同深度的洋流影响,引导AMV几乎同时到达交互点。

03

算法介绍

ALGORITHMS

算法介绍

(1)系统模型和优化目标

图2  协作海底勘探场景示例图

所提出的CPP-HA的应用场景如图2所示,AUG通过调整每个潜水/漂浮周期的滑翔角度和浮力,以锯齿形轨迹进行水下运动。它通过评估包括洋流和水下地形在内的环境因素来选择潜水位置,收集有关该地区的信息,然后漂浮到交互平面上与水面上的ASV进行交互。ASV监测AUG在交互平面中的轨迹,同时接收从海底收集的数据。交互平面的深度由AUG的通信范围确定。

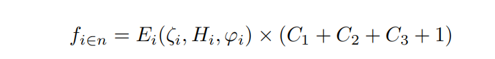
AUG在水下以锯齿形轨迹运动,受海洋环境的影响,路径建立过程中存在多约束优化问题。在本文中,我们将路径约束表示为C,考虑到以下方面:C_1深度约束、C_2速度约束和C_3角度约束,具体如下:

本文主要考虑AUG的能耗问题,其具体表达如下:

综上,所提的CPP-HA使用以下公式来估计勘探路径中产生的成本:

当AUG规划满足所有约束C_l至C_3的路径时,f_i产生正值,这是用于规划探测路径的绝对条件,且f越小说明路径解越好。

(2)异构AMVs的协同路径规划方法(CPP-HA) 

A. 水下路径规划的融合元启发式算法

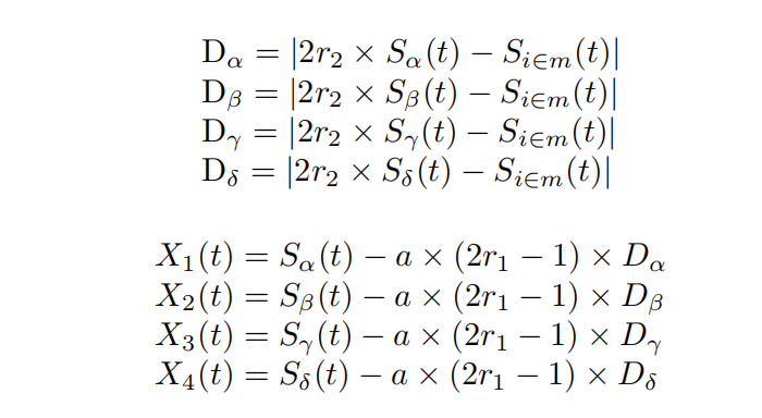
水下AUG的路径规划采用一种融合GWO和EO的元启发式算法。融合的基础是,GWO和EO都在多次迭代竞争中更新一组候选个体(分别为领导群体和平衡池)以找到最优解,候选集合的质量是影响最终解的主要因素。因此,通过在每次迭代中结合不同的竞争因素来提高候选集的质量在理论上能够提高最终解。在CPP-HA,我们设计了一个条件收敛的灰狼搜索方法,以减轻局部最优。此外,该融合算法综合考虑了初始候选集的大小和质量,在一定程度上提高了融合算法的整体效率。算法具体流程如下:

首先,进行种群的初始化和平衡池的初始化:

然后,执行GWO更新种群:

然而,在原始GWO中,a从2线性减小到0以使算法收敛,这可能触发局部最优问题。因此,本文CPP-HA使用一个条件收敛因子,考虑到候选个体与种群之间的距离。具体改进方式如下:

其中Th是用于条件收敛的收敛阈值,其通过迭代而被动态调整。在迭代开始时,此时种群彼此远离,Th值较低,以增强搜索能力;在迭代结束时,当种群分布得更密集,该值变得更高,以加强算法的开发能力。ε_1和ε_2是范围从0到1的系数,其通过下式获得:

故通过条件收敛的GWO更新后的种群为:

然后,更新平衡池为:

最后,基于上述更新后的种群,执行EO算法进行再一次更新:

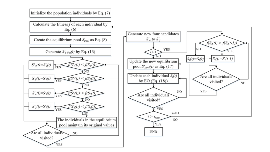
图3给出了融合启发式算法的流程图。

图3 算法流程图

B. 面向ASV交互的自适应水面路径规划

通过上述元启发式算法,AUG在水下勘探路径上行进,并漂浮到交互平面与ASV进行通信。故下一步是规划ASV在水面上的路径,并且应该考虑ASV应该实时跟踪AUG的水平轨迹,以便在AUG浮到交互平面时及时接收数据。

图4  AUG合成速度分析实例图

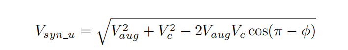
如图4所示,首先分析AUG在洋流影响下的相邻两个交互点间的合成速度:

然后,获得每个交互周期AUG的水平分速度:

AUG和ASV通过协作运动搜索勘探区域。然而,ASV在水面上航行没有障碍物,而AUG在海底地形不平坦的海底航行。因此,应考虑ASV的速度可能不同于水平速度,如图5所示。

图5  协作运动的俯视图示例

故,ASV的合成速度为:

再考虑洋流的影响,获得ASV速度:

最后,如图6所示,确定AUG与ASV的交互周期:

图6  交互周期示例图

在ASV按照当前交互周期中的计划路径移动到交互点之后,它从水下AUG接收探测的海底数据,以及下一次AUG移动的滑行信息,这些信息在交互期间交换。最后,ASV在路径上收集海底勘探数据并完成勘探任务。

04

实验结果

EXPERIMENTS

实验结果

1. 对比算法与参数设置

本文主要与GWO的最新变体以及融合元启发式算法进行实验对比,对比的指标有:协作路径图、不同场景下能耗成本统计、不同基准函数下的算法收敛性能等。

2. 结果分析

如图8给出了CPP-HA与GWO算法下的AUG与ASV协作路径图,左侧为正视图,右侧为俯视图,可以看出CPP-HA算法的AUG与ASV水平轨迹更接近,说明AUG的在水下勘探时产生更少的转向,降低了能耗。

图7  参数设置

(a)GWO算法下

(b) 本文所提CPP-HA算法下

图8  协作路径图

图9  不同场景下能耗

如图9所示,本文所提算法下的AUG能耗的平均值、最优值均是最优的。

然后,采用了基准测试函数来评判算法的勘探和开发能力。通过图11可知,在三个不同的测试函数下,所提CPP-HA的均值和方差均是最优的,充分证明了CPP-HA可以很好地平衡其勘探和开发能力,避免局部最优现象。

图10  CEC-2019中的三个基准测试函数

图11  CEC-2019下的性能比较

图11  不同算法的的收敛性能

上述实验验证了,所提的条件收敛因子可以很好地适应GWO算法的非线性收敛过程,避免了局部最优,同时,与EO算法的融合进一步平衡了算法的勘探和开发能力,保证算法搜索到环境中最优的解。所提议的自适应水面ASV路径跟踪方法也很好地保证了水下和水面的协作勘探,以较低的能耗完成了海洋勘探任务。

05

总结

CONCLUSION

总结

本文提出了一种AUG和ASV协同的路径规划方法,命名为CPP-HA,采用融合元启发式算法进行水下AUG路径规划和采用自适应水面路径规划方法进行ASV水面路径跟踪。对于水下路径规划,融合GWO和EO,在迭代优化过程中平衡探索和开发,其中GWO通过条件收敛因子进行改进,以抑制局部最优;在水面路径规划方面,采用了考虑不同位置洋流影响的自适应速度合成方法,使ASV在水平面内协同跟踪AUG。仿真结果表明,CPP-HA在收敛性能和能耗方面优于经典和最先进的路径规划算法,适用于协作式海底勘探。

在未来的工作中,我们将考虑更为复杂的海洋探索场景,即ASV与多AUGs的交互,这将带来水下不同AUG与水面上的ASV之间的多个具有时效性的交互。因此,ASV的路径规划方法应该考虑具有时效性的交互点,并且移动的障碍物将被考虑在内,以适应于复杂和不确定的水下环境。

END

扫描二维码关注我们

==河海大学网络与安全实验室==

微信搜索:Hohai_Network

联系QQ:1084561742

责任编辑:何宇


文章来源: http://mp.weixin.qq.com/s?__biz=MzI1MTQwMjYwNA==&mid=2247497655&idx=1&sn=801410d6b43408f43880671ac2ec4385&chksm=e9f137b4de86bea2c2bc5def95058eab03c2792d22557fbe920c34c99b34eba9ae07be366db0#rd
如有侵权请联系:admin#unsafe.sh