经典论文解读——布隆过滤器
作者:pishi,腾讯 PCG 后台开发工程师布隆过滤器是一种具有空间优势的概率数据结构,用于回答一个元素是否存在于一个集合中这样的问题,但是可能会出现误判——即一个元素不在集合但被认为在集合中。相信 2023-3-7 16:18:41 Author: 腾讯技术工程(查看原文) 阅读量:25 收藏

作者:pishi,腾讯 PCG 后台开发工程师

布隆过滤器是一种具有空间优势的概率数据结构,用于回答一个元素是否存在于一个集合中这样的问题,但是可能会出现误判——即一个元素不在集合但被认为在集合中。

相信大家对布隆过滤器(Bloom Filter,BF)都不陌生,就算没用过也听过。布隆过滤器是一种具有空间优势的概率数据结构,用于回答一个元素是否存在于一个集合中这样的问题,但是可能会出现误判——即一个元素不在集合但被认为在集合中。

布隆过滤器可用于避免缓存穿透、海量数据快速查询过滤之类的场景。但是,大家真的了 BF 吗?BF 有哪些参数?BF 支持删除吗?BF 的哈希函数怎么选?还有其他类型的 BF 吗?等等......

本文将从论文着手,从 BF 的起源开始,介绍初始的 BF,介绍 BF 的概率计算过程。接着介绍几个 BF 的变种:包括可以支持删除的(Count Bloom Filter, CBF);在 CBF 的基础上能进一步节省空间的(dlCBF);支持多个集合的(Spatial Bloom Filter, SBF)和支持动态扩容的(Scalable Bloom Filter)。最后介绍一些关于 BF 的疑问,并且结合部分 Golang 组件源码分析,将 BF 的理论带入设计实践。

总览

开局一张图,初步展示了各 BF 之间的发展关系,接下来我们一个一个具体来介绍。


本文从论文着手,从布隆过滤器的起源开始,粗略梳理了几个有代表性的布隆过滤器的原理和应用。其中 CBF 支持计数,可以用于网络缓存优化;dlCBF 是 CBF 的改进版,有更小的存储空间;Spatial-BF 支持多个集合,配合同态加密使用可以用于户隐私保护;Scalable-BF 支持自动扩容,被 Redis 作为其布隆过滤器的内部实现。布隆过滤器中的哈希函数选择也是有学问题的,应该选在那些分布均匀计算速度快的,比如 Murmur3。哈希函数可以通过不同的策略,由 2 个生成无限多个。以下是对各种 BF 技术特征的一个总结:

布隆过滤器的起源

BF 起源于 1970 年发表的一篇名为Space/Time Trade-offs in Hash Coding with Allowable Errors的文章,该文章主要探讨的是可容错的哈希编码在时空复杂度上的优势。在不同的不可容错的哈希编码中,总是不可能同时占尽时空复杂度的好处——要么时间快-空间消耗大,要么时间慢-空间消耗小。Bloom 提出了一个观点,他认为如果使用的场景可以容忍错误,那么是否有一种空间消耗小且运行时间还快的算法(数据结构)呢?因此,他提出了两种允许存在假阳性(false postive)的,用于测试一个给定元素是否存在于某一给定集合中的概率数据结构。通过允许容忍很小的错误,让其在时空复杂度上表现良好。其中第二种结构,因其在时空上更占优势而被我们熟知,该结构被后人称为“Bloom Filter”。

BF起源

其中对 Method2 的描述翻译一下,就是最初 BF 的基本原理:

  1. 给定长度为 Nbits 的哈希空间。
  2. 选取 d 个哈希函数,每个哈希函数将给定的元素映射到[0,N-1]的一个位置上,并将该位置为 1。
  3. 将需要被判断的元素也用 2 中的 d 个哈希函数算出 d 个位置 a1,a2,...,ad
  4. 如果 a1,a1,...,ad 对应的位有一个不为 1,则该元素一定不在集合中。
  5. 如果 a1,a1,...,ad 对应的位全为 1,则该元素可能存在于集合中。

如下图所示,Orange 和 Lemon 两个元素作为集合的初始元素,经过两个哈希函数 H1 和 H2 分别哈希到两个位置,并将哈希到的位置元素置位 1,建立起一个 BF。当检查元素 Kiwi 和 Onion 是否在集合中时,同样经过哈希函数 H1 和 H2 哈希到两个位置。Kiwi 元素哈希的位置不全为 1,说明元素 Kiwi 一定不在集合[Orange,Lemon]中。而元素 Onion 哈希的两个位置均为 1,但我们其实知道 Onion 并不在集合[Orange,Lemon]中,因此出现了错判。所以为了实际能使用上这样一个数据结构,我们有必要知道这个错判概率是与哪些因素有关,从而能降低错判概率。

一个简单BF示例

从上面的例子中我们可以看出,一个布隆过滤器应该起码有以下参数:

  1. 哈希空间大小,记为m。以上示例中 m = 20 bits;
  2. 元素集合大小,记为n。以上示例中 n = 2;
  3. 哈希函数个数,记为k。以上示例中 k = 2;
  4. 因为 BF 是 Allowable Errors 的,可能会出现一个元素原本不在集合中,但是被错判为存在于集合中,这个错判的概率叫 false postive,记为ε

Bloom 虽然提出了这样一个概率数据结构,但是并未给出这些参数之间的关系和证明。下面我们给出 BF 的概率证明,同时写出各个参数之间的关系表达式。

BF 是概率结构

以下为条件独立情况下的 BF 计算过程,并不复杂,稍微懂一点概率论的应该都能看懂。假设某 BF 的哈希空间大小为 m,使用的哈希函数为 k 个。能得出:

一次哈希,某一位没有被置位 1 的概率为:

k 次哈希后,某一位依然没有被置为 1 的概率为:

使用 1/e 的等价提换:

带入得:

那么,在插入 n 个元素后,某一位依然是 0 的概率就为:

因此,取反,在插入 n 个元素后,某一位是 1 的概率就为:

最终,某一元素没在集合中,但是被误判在集合中的概率为:

对于实际应用,我们的目标应该是使错判率 ε 最小,即需要使函数:

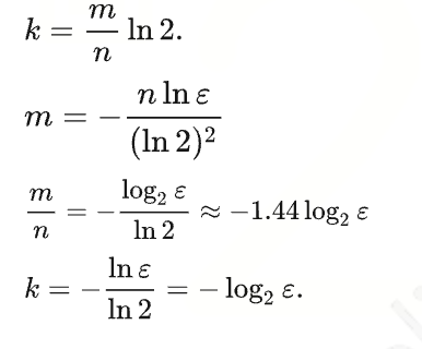
取到最小值。求最小值的过程略,直接上结论:当 k = (ln2)(m/n)时,错判率最小,因为 k 需要取整数,所以即当 k = [(ln2)(m/n)]时,布隆过滤器有最好的效果。以下是 k 取最优值时,各个参数之间的关系:

以上只是条件独立下的概率证明,非条件独立下的概率证明在 2005 年由 Mitzenmacher 和 Upfal 给出,过程稍显复杂,但是结论是一致的。感兴趣的可以参考:Probability and Computing

在 k 取最优值 ln2*(m/n)时,随着 n 增长,不同 m 情况下错判率的变化关系。

有了这些参数之间的关系表达式,就能方便的让我们选取最合适的参数。比如现有一场景,我们有 1000w 个黑产账号,需要以不高于 0.001%错误的的情况下识别出来,那么我们选取多少个哈希函数最合适以及需要耗费多少空间(即哈希空间 m是大多)?

答案:我们需要 k=17 个哈希函数以及 m=239626460 (28.57MiB)。

具体计算带入公式即可。下面是一个网站,能帮忙我们快速计算各个参数:Bloom filter calculator

BF各参数计算

计数 BF

普通的 BF 其实并不支持删除元素,因为多个元素可能哈希到一个布隆过滤器的同一个位置,如果直接删除该位置的元素,则会影响其他元素的判断。因此,在 2000 年,在Summary Cache: A Scalable Wide-Area Web Cache Sharing Protocol这篇文章中,Li Fan 等人使用带计数器的布隆过滤器,弥补了布隆过滤器不支持删除的缺点,并将 CBF 引入提出新的 ICP(Internet Cache Protocol)以达到降低 Web 缓存代理带宽、cpu 时间、消息数量的同时还提高命中率的效果。

CBF起源

Count Bloom Filter 原理:

  1. 给定长度为 N*Mbits 的哈希空间。M 是用来存计数的位大小,文中取 4,即最大计数为 15。因为此时会溢出的概率已经足够小。
  2. 插入:选取 d 个哈希函数,每个哈希函数将给定的元素映射到[0,N-1]的一个位置上,并将该位对应的值+1。如果值大于 15,则取 15。
  3. 删除:选取 d 个哈希函数,每个哈希函数将给定的元素映射到[0,N-1]的一个位置上,并将该位对应的值-1。如果值小于 0,则取 0。
  4. 判断存在:和经典布隆过滤器相同。

这里可以看到,CBF 和普通 BF 的区别,仅仅是将原来的只能记 0/1 的一位,拓展为了多位。如果遇到哈希冲突,则把该位的值+1,删除时则将该位-1。

如下图所示步骤(a)所示,向 CBF 插入元素的过程中,不是将该位置为 1,而是直接+1。这样当删除时,比如删除 x1,只是将它原来所在位由[1,2,4]变为[0,1,3],而不会影响其他元素是否存在于集合的判断。

让我们来看一个使用 CBF 优化传统缓存共享的使用场景:

背景:传统的网络缓存服务器,通常会根据过期时间,缓存一批最近访问过的地址的网页信息。这时如果用户再次请求相同地址,即可从本地缓存中将网页信息取出返回给用户,无需经过真正的网络路由到外部真实的资源服务器。然而当用户请求的地址没有被 proxy 缓存时,该 proxy 会向网络中的其他 proxy 发送请求。如果其他 proxy 有网页信息,则会把信息返回给用户;如果其他 proxy 也没有网页信息,则会通过互联网将请求发送至目标服务器。

传统的 ICP 架构中,由于缓存的页面信息信息量巨大,所以都是缓存在本地磁盘中。

传统基于 ICP 的缓存共享:

传统基于 ICP 的缓存共享的请求时序

从这个场景中我们可以发现,当缓存 miss 时,需要向其他所有 Proxy 发送请求,从而优先获取其他 proxy 缓存的内容,减少外部网络访问。一个很容易想到的优化策略就是,如果一个 Proxy 要是知道其他 Proxy 都缓存了哪些链接,就可以直接向目标 Proxy 发起请求而不用向每一个 Proxy 都发起请求。那么问题就转化为了,一个 Proxy 如何才能存储其他 Proxy 的缓存链接信息?如果全量存储,势必非常耗费空间。因为一个 URL 少则十几个字节,多则几百个字节,而且数量也非常多。这些信息要是存内存的话又太耗费资源,存磁盘的话访问速度又太慢。

针对以上问题,BF 就排上了用场。因为在错判率 1%时,一个元素无论多大只需要低于 10bits 存储,能有效降低存储空间,从而可以放到内存中。但是普通的 BF 又无法支持删除,我们这个场景缓存会淘汰,因此会存在元素删除的情况。这时,CBF 就派上了用处,既耗费非常少的空间,又支持删除。使用 CBF 后,让我们看下如何优化该场景。

使用 CBF 后,每个 Proxy 维护一个自己的 CBF,存储于内存中,记录各自的缓存集合信息。各个 Proxy 向其他 Proxy 同步自己的 CBF,这样每个 Proxy 都能得到其他 Proxy 缓存的信息。同步时机可以定时同步或者设置一个缓存更新的阈值,当缓存更新超过该阈值时,向其他 Proxy 同步自己的 CBF。

使用CBF改进的缓存共享
使用CBF改进的缓存共享请求时序

使用 CBF 改进后,可以从时序图中看到,一次请求的平均通讯次数大幅减少,根据论文结论:使用 CBF 优化过的 ICP,能降低 Web 缓存代理带宽、cpu 时间、消息数量、并且还能还提高缓存命中率。经过这样优化后的 ICP 协议叫做 Summary Cache。

d-left 计数 BF

思科联合哈佛大学和斯坦福大学于 2006 年提出,传统的 CBF 因为大部分时候值都为 0,非常浪费空间。因此在An Improved Construction for Counting Bloom Filters一文中,他们基于 d-left hashing,构建了名为 d-left Count Bloom Filter(dlCBF)的空间利用率更高的布隆过滤器。与此同时,还提供了更小的错判率

dlCBF起源

d-left Count Bloom Filter 原理:

  1. 将原本的一个哈希表(对应 CBF 的比特数组)划分为 d 个子哈希表;每个子哈希表包含若干 bucket;每个 bucket 包含若干个 cell;每个 cell 包含一个哈希指纹和一个 counter。
  2. 一个哈希函数的值要被分为 d+1 段,高 d 段用作 d 个存储位置(bucket 位置),d+1 段作为哈希指纹。
  3. 插入时,在 d 个位置中选择元素最少的一个。如果元素数量一个,优先选最左边一个。如果 cell 的哈希指纹相同,则计数加 1。否则新加一个 cell,counter 初始化为 1。删除时同,优先减少计数,减到 0 时删除。
  4. 查询时,遍历所有 d 个位置,只要其中一个位置的 cell 中有对应元素的哈希指纹,则判定存在。

可见,d-left 中的'd'描述的是将原来的哈希表拆分为多少张子表,而'left'描述的是选取桶位置的原则,即有限选取桶内 cell 少的,如果 cell 一样多,优先选择最左的桶。通过使数据存储的更加均匀和密集,dlCBF 才能节省更多的空间。关于 d-left hashing,可以参考D-left hashing_风云龙儿的博客-CSDN 博客_d-left 哈希解决了什么问题。

这个过程可能比较不容易理解,我结合下面的 dlCBF 示意图给大家做个简单说明。下图描述了一个地址经过一个哈希函数最终落到一个 cell 中的过程。可以看到下图中的 d=2.

  1. 地址经过哈希函数,得到一个哈希值,哈希值包括 2+1 段(bucket1,bucket2,Remainder1=Remainder2),忽略随机置换过程。其中 bucket1 和 bucket2 指定元素落在 2 个哈希子表的哪个桶中,而 Remainder 当做哈希指纹。
  2. 选择 bucket1 还是 bucket2 时,发现两边都没有当前指纹,并且两边当前 cell 数量是一样的都是 2。因此根据左边优先原则,选在 bucket1。新建一个 cell,couter 初始化为 1,指纹为 Remainder1。
dlCBF示例

为了体现 dlCBF 的优势,考虑一个真实 dlCBF 与标准 CBF 的对比例子。假设要表示集合有 n 个元素,构造 dlCBF 参数如下:

  1. d-left 哈希表包含 4 个子表。
  2. 每个子表包含 n/24 个 bucket,使得 bucket 平均负载是 6 个 cell。
  3. 子表中每个 bucket 可以容纳 8 个 cell,8 个就能以很高概率保证不会溢出。
  4. cell 中每个 counter 包含 2 位,可以容纳 4 个相同的哈希指纹,每个哈希指纹占用 r 位。

因此:错判率=24*(1/2)^r。其中两个元素哈希指纹相同的概率是(1/2)^r,d-left hashing 查找时有 4 个选择(4 个子表),每个对应一个 bucket,一个 bucket 平均负载是 6,因此需要乘 24。整个 dlCBF 所需的位数=4*n(r+2)/3。其中 r+2 是一个 cell 大小,n 是集合元素数,一个 bucket 容纳 8 个 cell,但平均负载是 6,因此乘 4/3 就得到全部位数。

现在看一个标准 CBF。假设对于 n 个元素的集合,CBF 使用 cn 个 counter,每个 counter 使用 4 位,哈希函数的个数 k 使用最优值 cln2,得到错判率=(2-ln2)c,总共使用 4cn 位。

如果令 c = (r+2)/3,那么两种方法使用的位数相同,这时我们来比较一下错判率。我们发现在 r ≥ 7 时有:

(2-ln2)(r+2)/3 > 24*(1/2)^r

而且使用的位数越多,两个错判率的差距就越大。当 r = 14 时,c = 16/3,虽然两个结构使用的位数相同,但 CBF 比 dlCBF 的错判率大了 100 倍以上。

现在换个角度,看看错判率相同的情况下两者占用空间的情况。假设标准的 CBF 使用 9 个 4 位的 counter(每个元素 36 位),6 个独立的哈希函数,得到的错判率为 0.01327。dlCBF 使用 11 位的哈希指纹(每个元素 52/3 位),得到的错判率为 0.01172。我们计算一下,52/3÷36= 0.48,也就是说,dlCBF 只使用了 CBF 不到一半的空间,就得到了比 CBF 更低的错误率。

结论:使用相同的位数,dlCBF 错判率更低。保持相同的错判率,dlCBF 所占空间只有 CBF 的一半左右。

可扩展 BF

在这篇文章中,Almeida 等人提出传统的布隆过滤器需要先验的确定错判率 p(false pasitive)和集合中元素大小 n,才能有效的确定哈希函数 k 和过滤器大小 m。然而,大部分情况下,我们并不能事先知道集合中到底会插入多少个元素,因此有必要有一种能动态根据集合中的元素计算适合的哈希函数个数和 filter 大小的机制。使用该机制的布隆过滤器就叫做 Scalable Bloom Filters。

Scalable-BF起源

Scalable Bloom Filter 原理:

  1. 确定初始值:在确定 P0 的情况下,给定初始 filter 大小 M0 和 K0 个初始哈希函数 h0,h1,...,hk。
  2. 划分:将大小为 M0 的数组划分为长度 m=M0/K0 的 K0 个数组 m0,m1,...,mk,因此初始值 M0 必需要能被 K0 整除。
  3. 哈希规则:有 K0 个哈希函数,每个哈希函数 hi 只将值哈希到一个数组 mi(分段哈希)。
  4. 扩容:随着元素的插入,错判率 p 在增大,当增大到快要超过 P0 时,执行扩容。扩容规则为,新增一个布隆过滤器。新增的过滤器 m->ms^i, k->K0+ilog2(r^-1)。此时旧的布隆过滤器变为只读,新的布隆过滤器可读写。其中 s 为子数组增长系数,r 为容错系数,即 P1=P0*r。
  5. 查询:检验一个成员是否存在时,和经典布隆过滤器一样,但需要检验所有的(包括扩容出来的)布隆过滤器。

Scalable Bloom Filter 参数选择:

在第 4 步扩容中,引入了两个新的因子 s 和 r。根据论文中给出的计算公式,问题就转化为寻找最适合的 s 和 r。根据论文结论,当规模增长率很大的时候s=4比较合适,当规模增长不是很大的时候s=2合适。在选定 s 的基础上,r 一般取0.8~0.9最为合适。

如下图所示,下图是一个 s=1,r=1/2 的 Scalabel-BF 示例。下图右半部分是一个因错判率达到阈值而扩容出来的新的 BF。新扩容出来的 BF 可读写,原先的 BF 变为只读。根据公式 m->ms^i,带入 s=1,i=1 得到结果=m,可以知道新扩容出来的每一列依然保持 m 的大小。而根据公式 k->K0+ilog2(r^-1),带入 k0=3,r=1/2,i=1 得到结果=4,可知新扩容出来的哈希函数比原来多了一个。

实际上redis 中的 BF 拓展,就是利用Scalable Bloom Filter 的原理来实现的。

https://github.com/RedisBloom/RedisBloom

空间 BF

到目前为止我们发现,以上所有的 BF,都只支持单个集合,即加入到 BF 中的元素都属于同一个集合。然而,BF 还是有可能支持多个集合的。

Spatial Bloom Filters: Enabling Privacy in Location-Aware Applications这篇文章中,Palmieri, Calderoni & Maio 提出了 SBF 这一数据结构来存储空间信息,从而提供无需暴露用户具体位置就能为其提供位置服务的好处。然而,SBF最大的特性,是其支持将多个有优先级的集合使用同一个数据结构来存储

SBF起源

Spatial Bloom Filter 原理:

  1. 划分:将全集按优先级从小到大分为 s 个子集,Δ1,Δ2,...,Δs
  2. 构造:从优先级低的集合 i 开始,集合中的每个元素哈希到对应的位置,并将值置为 i。注意:高优先级值会覆盖低优先级值。
  3. 查询:对于给定元素的查询,先算哈希,找到要判断的 d 个位置。顺序判断所有位置:
  4. 如果该位置为 0,返回 false
  5. 如果该位置不为 0,保存该位置的值作为最大值,如果有更大的值则替换
  6. 返回最大值对应的集合,即该元素可能存在于该集合

论文中作者使用 SBF,主要是用于构建地理信息。结合下面两张图,使用空间布隆过滤器,现在我们可以描述一下地理信息建模过程。

  1. c 点为感兴趣的中心位置,r 为感兴趣的范围,离 c 越近优先级越高。以 c 为圆心,r 为半径画圆,这个圆会覆盖很多区域。
  2. 把 c 点所在的区域距离设为 0,计算圆覆盖范围区域 δ 与 c 的曼哈顿距离。
  3. 根据曼哈顿距离给区域分类(划分优先级),划分优先级的策略可以自定义,比如示例中 1,2 优先级相同,3,4 优先级相同。优先级划分完后从高到低,从内到外,分出了三个区域:[Δ3,Δ2,Δ1],对应的值分别是 [3,2,1]。

空间布隆过滤器建立算法流程:

输入:Δ12, ... , Δs, H(多个哈希函数);
输出:空间布隆过滤器b#;
for i ← 1 to s do
    foreach δ∈Δi do
        foreach h∈H do
            b#[h(δ)] ← i;
        end
    end
end
return b#;

空间布隆过滤器查询算法流程:

输入:b#,H,δ,s;
输出:Δi;
i = s;
foreach h∈H do
    if b#[h(δ)]=0 then
        return false;
    else
        if b#[h(δ)]<i then
            i ← b#[h(δ)];
        end
    end
end
return Δi;

参数释义:

b#:SBF

H:哈希函数

δ:具体某一个地理小方格

Δ:同一优先级的小方格集合

s:不同优先级集合个数

作为论文中的例子,作者利用 SBF 建模地理信息,使用同态加密保证数据的“可用而不可见”,来完成对通讯双方位置隐私的保护。从而构建了一种无需提供精确位置下的位置依赖服务(location base service)。由于通讯流程比较复杂,这里就不展开讲解了。

学习 SBF 原理,我也撰写了一篇专利一种提供位置隐私保护的附近的人一起看陪看推荐方法,大家有兴趣也可以看看。里面详细介绍了使用 SBF+乘法同态加密完成一个位置隐私保护的推荐流程。

如何构建一个好的 BF

说了这么多,还是没有回答一开始提出来的问题,BF 的哈希函数究竟要怎么选择?MD5 行不行?


如何选择哈希函数

从概率计算和速度角度,哈希函数需满足:

1)独立、均匀分布。

2)计算速度快。

因此:

Murmur3,FNV系列和Jenkins等非密码学哈希函数适合,其中Murmur3因其简单,并且在速度和随机分布上有最好的权衡,实践中多选用它作为哈希函数。

以下是一些哈希函数测评:hash-functions-benchmarks

几个哈希函数的基准测试:

Murmur 随机性很好(点分布均匀)

选择几个哈希函数?

当需要 10 个哈希函数的时候,我们总不可能选择 10 个不同的哈希函数来进行操作吧,这样也根本无法编程。哈佛大学的一篇论文计算证明,其实按照一定策略,只需要取 2 个哈希函数,即可以达到生成任意多个哈希函数的目的。论文中提出了两种可行的策略:

Partition Schemes:

hi=h1(u) + ih2(u) mod m′

Double Hashing Schemes:hi=h1(u) + ih2(u) + f(i) mod m

其中 h1 和 h2 是两个哈希函数,m 是 bloom filter 大小,m'是 m/k(要求 m 能整除 k)。

在 go 语言的 BloomFilters 实现中,利用了类似 partition schemes 的策略,通过 2 个哈希函数(第二个哈希函数实际上是将输入值+1 后取哈希值实现的),生成无数多个哈希函数。

源码分析

在了解了布隆过滤器原理后,结合一份源码,让我们看一下一个 BF 组件的内部实现。源码分析部分就不展开了,感兴趣的可以拓展阅读BloomFilter-Golang 源码分析。

写在最后

布隆过滤器的原理部分,涉及大量的证明和推导,因此除了最原始的布隆过滤器给出了推导,其他变种的推导过程都省略了。同时因为作者学识、精力和时间都有限,并没有把整个布隆过滤器的发展脉络都梳理出来,只选取了部分富有代表性的来讲解。文中的内容,也是作者读了论文后自己翻译和总结的,可能会有稍许误差,如各位发现其中的错误,还望不吝赐教,感谢大家。

参考资料

Space/Time Trade-offs in Hash Coding with Allowable Errors

Probability and Computing

Summary Cache: A Scalable Wide-Area Web Cache Sharing Protocol

An Improved Construction for Counting Bloom Filters

Spatial Bloom Filters: Enabling Privacy in Location-Aware Applications

Building a Better Bloom Filter

hash-functions-benchmarks



文章来源: http://mp.weixin.qq.com/s?__biz=MjM5ODYwMjI2MA==&mid=2649776882&idx=1&sn=48b75e9461db82c684e8a906ab058aea&chksm=beccf18989bb789f87e5b2eefffd9320d8019d64b701341ac7358921ae3121b1d4f445dc72f6#rd
如有侵权请联系:admin#unsafe.sh