每周文章分享-88
每周文章分享2022.12.26-2023.01.01标题: Identification of Two-Dimensional Causal Systems With Missing Output 2022-12-31 23:54:11 Author: 网络与安全实验室(查看原文) 阅读量:20 收藏

每周文章分享

2022.12.26-2023.01.01

标题: Identification of Two-Dimensional Causal Systems With Missing Output Data via Expectation -Maximization Algorithm

期刊: IEEE Transactions on Industrial Informatics, vol. 17, no. 8, pp. 5185-5196, Aug. 2021.

作者: Jing Chen, Biao Huang, and Feng Ding.

分享人: 河海大学——娄思成

背景介绍

二维系统在工业领域有着十分广泛的应用,如二维系统合成数字图像处理、多变量网络可实现性等,在控制领域也受到了广泛的关注。控制设计需要系统的模型参数。如果第一原理模型不可用,则二维系统辨识在控制器设计中有着至关重要的作用。目前已经存在很多系统辨识方法,如随机梯度(SG)算法、递归最小二乘(RLS)算法等。但由于二维系统的参数与时间和空间坐标有关,必须在时间和空间维度上考虑,因此,这些方法不能直接应用于二维系统。

EM算法的思想是迭代地使用期望(E)步骤来估计隐藏变量,并应用最大化(M)步骤来基于估计的隐藏变量来估计未知参数,利用辅助模型的输出来代替缺失数据。辅助模型不能根据实际数据来提高预测数据的准确性。基于估计方法的卡尔曼滤波器平滑器可以对线性状态空间模型进行参数估计,但仅适用于包含状态模型和输出模型两个子模型的状态空间模型。

关键技术

本文提出了两种二维因果系统的识别算法:ML估计算法在不含缺失数据时对二维因果系统进行参数估计,而基于EM的辅助模型算法可以利用缺失的输出数据来估计二维因果系统参数。此外,为了提高基于EM的辅助模型算法的估计精度,提出了一种基于EM改进的卡尔曼滤波和平滑算法。本文的主要贡献如下:

1)将EM算法扩展到考虑时间和空间坐标的二维系统;

2)将辅助模型和基于EM的识别算法集成到综合EM-AM框架中;

3)提出一种改进的基于卡尔曼滤波和平滑的方法来代替辅助模型,可以提高缺失输出估计的估计精度,也可以处理回归模型。

算法介绍

1. EM-AM算法

EM算法是一种有效的识别算法,可以识别具有不完整数据的一维系统。然而,与一维系统不同,二维因果系统在每个采样瞬间都会有更多的数据丢失,这使得二维因果系统识别更具挑战性。下图显示,2-D系统在每个采样瞬间丢失M个数据点,而在1-D系统中,每个采样瞬间仅丢失一个数据点。本文提出的EM-AM算法可以扩展到二维因果系统。

图1 二维系统数据丢失情况

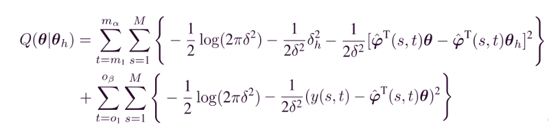
本文使用EM算法处理具有缺失输出数据,分为求期望(E步)和最大化Q函数(M步)两步,E步即对数似然函数求期望:

求得函数期望值即建立参数的下界,通过不断优化下界(M步),使得参数的下界不断逼近真实的参数,迭代之后即可以得到参数值。

针对本文中存在的数据缺失问题,使用了链式概率准则和条件概率公式对模型进行化简,这样做的目的在于通过概率分布去估计参数的后验概率密度,随后计算出Q函数。

算法流程图如下:

图2 算法流程图 

从EM-AM算法的流程图中可以看出,应该在每个采样时刻mk估计M个缺失输出。而对于一维系统,只需要在每个采样时间mk估计1个缺失输出即可。

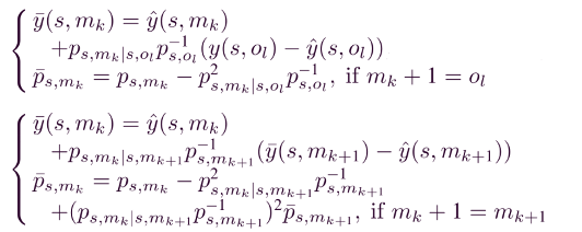
为了获得模型参数,应首先估计缺失的输出数据。众所周知,卡尔曼滤波器或平滑器是估计线性状态空间模型未知状态的有效估计器。因此本文针对具有缺失输出数据的二维因果系统,提出了一种改进的卡尔曼滤波和平滑方法EM-KF算法。

2. EM-KF算法

针对本文存在的输出数据缺失问题,在输出数据未知的情况下,需要通过输出数据的概率分布进行迭代计算与参数估计,所以这里使用输出数据的期望值去估计缺失的输出数据:

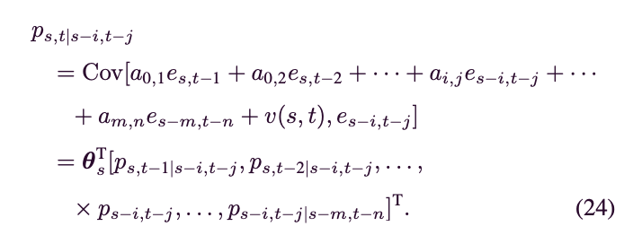
由于我们使用的期望值和缺失的输出数据有误差,这里的估计误差用新息表示,计算公式为:

   

在卡尔曼滤波原理中,协方差阵通常被用于预测矩阵的计算,预测矩阵p会随着每一步新息的改变而改变,所以新息方差和协方差矩阵的数量关系在卡尔曼滤波过程中,是参数估计和模型迭代的关键步骤,它们的关系如下:

通过两个相邻测量的每个间隔内的测量输出来改进估计输出,如下图所示:

图3 系统数据缺失

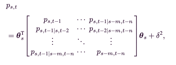
协方差阵为:

预测协方差阵:

改进后的输出估计可计算如下:

基于估计的缺失输出为:

 

本文提出的EM-KF算法根据可预测输出来调整参数估计结果,因此,计算精度更高。与ML算法不同,EM-KF算法在EM-E步骤中使用了改进的卡尔曼滤波和平滑方法来估计丢失的输出,因此它比ML算法复杂度更高,计算成本较大。由于在EM-M步骤的每次迭代中都涉及导致大量计算成本的矩阵反演计算我们可以使用梯度下降算法更新E步骤中的参数估计,以减少计算成本。

实验结果

考虑二维因果系统:

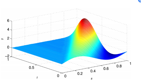
二维因果系统如下图所示:

图4 二维因果系统建模

1. EM-AM仿真结果

EM-AM算法的估计和误差如下表所示:

 表1 EM-AM算法的估计和误差

从上表可以看出EM-AM算法提供的估计误差随着h的增加而变小并接近零。本文在仿真时使用 h = 20 时的估计参数对二维系统进行建模。下图显示了二维因果系统的估计响应:

 

图5 使用EM-AM算法的估计响应

 误差轨迹如下图所示:

 

图6 全局估计轨迹误差

当i=3时,二维因果系统退化为以为系统,误差估计从曲面退化为二维平面图像

 的误差如下图所示:

图7 i=3时EM-AM算法估计误差轨迹

2. EM-KF算法仿真结果

同样使用h=20时二维因果系统的估计响应

 误差轨迹如下图所示:

 图8 使用EM-KF算法的估计响应

 的误差如下图所示:

 

图9 i=3时EM-KF算法估计误差轨迹

当2-D系统缺少输出时,EM-KF算法优于EM-AM算法。仿真结果表明使用EM-KF算法的参数估计的均值和方差小于使用EM-AM算法的均值和均值,说明EM-KF方法更有效。

总结

本文使用改进的Kalman滤波,并与EM算法相结合,应用在了回归模型中。基于辅助模型的EM算法直接使用辅助模型的输出来估计缺失数据,本文的EM-KF算法通过可观测的数据优化估计的缺失数据,提高了估计的精度。但是,在EM-KF算法中通过计算协方差阵和预测协方差阵的方法对估计值进行优化,在数据出现连续缺失的情况时计算精度容易受影响。

-END-

==河海大学网络与安全实验室==

微信搜索:Hohai_Network

联系QQ:1084561742

责任编辑:何宇


文章来源: http://mp.weixin.qq.com/s?__biz=MzI1MTQwMjYwNA==&mid=2247495326&idx=1&sn=8a584a258fc03e15a3e5d25593f00bcc&chksm=e9f12e9dde86a78b1f73d99f9f7102c654961ca2fd54ee005d4ccd4d96c4ae90411d5c740be0#rd
如有侵权请联系:admin#unsafe.sh