哈希碰撞与生日攻击
免责声明本公众号所发布的文章及工具只限交流学习,本公众号不承担任何责任!如有侵权,请告知我们立即删除。一、哈希碰撞是什么?所谓哈希(hash),就是将不同的输入映射成独一无二的、固定长度的值(又称"哈 2022-11-6 14:9:21 Author: 浪飒sec(查看原文) 阅读量:16 收藏

免责声明

本公众号所发布的文章及工具只限交流学习,本公众号不承担任何责任!如有侵权,请告知我们立即删除。

一、哈希碰撞是什么?

所谓哈希(hash),就是将不同的输入映射成独一无二的、固定长度的值(又称"哈希值")。它是最常见的软件运算之一。

如果不同的输入得到了同一个哈希值,就发生了"哈希碰撞"(collision)。

举例来说,很多网络服务会使用哈希函数,产生一个 token,标识用户的身份和权限。

AFGG2piXh0ht6dmXUxqv4nA1PU120r0yMAQhuc13i8

上面这个字符串就是一个哈希值。如果两个不同的用户,得到了同样的 token,就发生了哈希碰撞。服务器将把这两个用户视为同一个人,这意味着,用户 B 可以读取和更改用户 A 的信息,这无疑带来了很大的安全隐患。

黑客攻击的一种方法,就是设法制造"哈希碰撞",然后入侵系统,窃取信息。

二、如何防止哈希碰撞?

防止哈希碰撞的最有效方法,就是扩大哈希值的取值空间。

16个二进制位的哈希值,产生碰撞的可能性是 65536 分之一。也就是说,如果有65537个用户,就一定会产生碰撞。哈希值的长度扩大到32个二进制位,碰撞的可能性就会下降到 4,294,967,296 分之一。

更长的哈希值意味着更大的存储空间、更多的计算,将影响性能和成本。开发者必须做出抉择,在安全与成本之间找到平衡。

下面就介绍,如何在满足安全要求的前提下,找出哈希值的最短长度。

三、生日攻击

哈希碰撞的概率取决于两个因素(假设哈希函数是可靠的,每个值的生成概率都相同)。

•       取值空间的大小(即哈希值的长度)

•       整个生命周期中,哈希值的计算次数

这个问题在数学上早有原型,叫做"生日问题"(birthday problem):一个班级需要有多少人,才能保证每个同学的生日都不一样?

答案很出人意料。如果至少两个同学生日相同的概率不超过5%,那么这个班只能有7个人。事实上,一个23人的班级有50%的概率,至少两个同学生日相同;50人班级有97%的概率,70人的班级则是99.9%的概率(计算方法见后文)。

这意味着,如果哈希值的取值空间是365,只要计算23个哈希值,就有50%的可能产生碰撞。也就是说,哈希碰撞的可能性,远比想象的高。实际上,有一个近似的公式。

上面公式可以算出,50% 的哈希碰撞概率所需要的计算次数,N 表示哈希的取值空间。生日问题的 N 就是365,算出来是 23.9。这个公式告诉我们,哈希碰撞所需耗费的计算次数,跟取值空间的平方根是一个数量级。

这种利用哈希空间不足够大,而制造碰撞的攻击方法,就被称为生日攻击(birthday attack)。

四、数学推导

这一节给出生日攻击的数学推导。

至少两个人生日相同的概率,可以先算出所有人生日互不相同的概率,再用 1 减去这个概率。

我们把这个问题设想成,每个人排队依次进入一个房间。第一个进入房间的人,与房间里已有的人(0人),生日都不相同的概率是365/365;第二个进入房间的人,生日独一无二的概率是364/365;第三个人是363/365,以此类推。

因此,所有人的生日都不相同的概率,就是下面的公式。

上面公式的 n 表示进入房间的人数。可以看出,进入房间的人越多,生日互不相同的概率就越小。

这个公式可以推导成下面的形式。

那么,至少有两个人生日相同的概率,就是 1 减去上面的公式。

五、哈希碰撞的公式

上面的公式,可以进一步推导成一般性的、便于计算的形式。

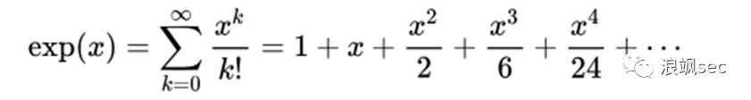
根据泰勒公式,指数函数 ex可以用多项式展开。

如果 x 是一个极小的值,那么上面的公式近似等于下面的形式。

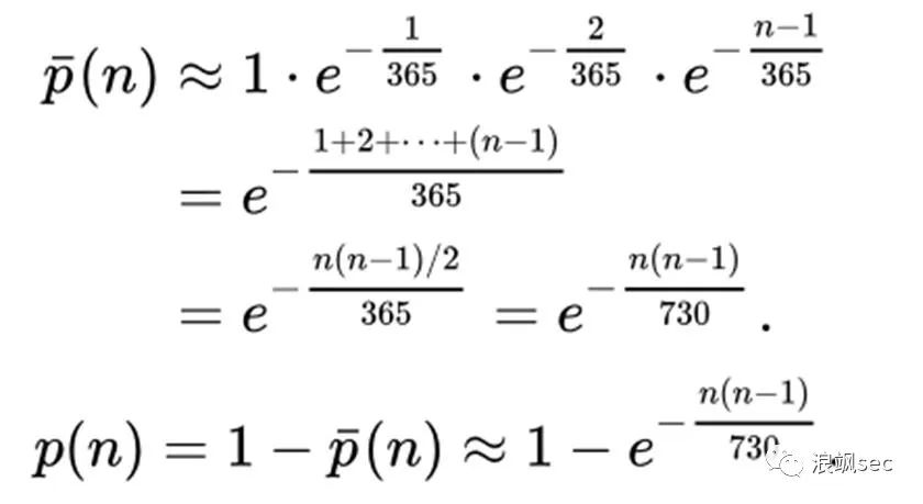
现在把生日问题的1/365代入。

因此,生日问题的概率公式,变成下面这样。

假设 d 为取值空间(生日问题里是 365),就得到了一般化公式。

上面就是哈希碰撞概率的公式。

六、应用

上面的公式写成函数。

 const calculate = (d, n) => {    const exponent = (-n * (n - 1)) / (2 * d)    return 1 - Math.E ** exponent;   }    calculate(365, 23) // 0.5000017521827107   calculate(365, 50) // 0.9651312540863107   calculate(365, 70) // 0.9986618113807388

一般来说,哈希值由大小写字母和阿拉伯数字构成,一共62个字符(10 + 26 + 26)。如果哈希值只有三个字符的长度(比如abc),取值空间就是62 ^ 3 = 238,328,那么10000次计算导致的哈希碰撞概率是100%。

 calculate(62 ** 3, 10000) // 1

哈希值的长度增加到5个字符(比如abcde),碰撞的概率就下降到5.3%。

 calculate(62 ** 5, 10000) // 0.05310946204730993

现在有一家公司,它的 API 每秒会收到100万个请求,每个请求都会生成一个哈希值,假定这个 API 会使用10年。那么,大约一共会计算300万亿次哈希。能够接受的哈希碰撞概率是1000亿分之一(即每天发生一次哈希碰撞),请问哈希字符串最少需要多少个字符?

根据上面的公式倒推,就会知道哈希值的最短长度是22个字符(比如BwQ1W6soXkA1PU120r0yMA),计算过程略。

22个字符的哈希值,就能保证300万亿次计算里面,只有1000亿分之一的概率发生碰撞。常用的 SHA256 哈希函数产生的是64个字符的哈希值,每个字符的取值范围是0~9和a~f,发生碰撞的概率还要低得多。

原文链接:http://www.ruanyifeng.com/blog/2018/09/hash-collision-and-birthday-attack.html

历史推荐

Ubuntu 20.04 离线安装破解 Nessus 10.3.0

浅析《数据安全法》与《个人信息保护法》对各行业的影响

内网渗透 域渗透

域环境基础知识

企业安全必看书籍(文末附地址)

超全Hack报告/资料/文档/书籍(不关注我你必后悔的好东西)

应急响应指南

内网信息收集

工具推荐——Apt_t00ls

Web攻击与防护技术PPT(经典且好用100多页)


文章来源: http://mp.weixin.qq.com/s?__biz=MzI1ODM1MjUxMQ==&mid=2247489807&idx=1&sn=68c9d05d50abbc77741df82f43f57c3d&chksm=ea082d1fdd7fa409fb2149a77324157e65b8135272e941dc8d79f88a72dc1e5384ce8b370784#rd
如有侵权请联系:admin#unsafe.sh