每周文章分享-75
每周文章分享2022.09.26-2022.10.02标题: A Multi-Channel MAC Protocol With Retrodirective Array Antennas in Fl 2022-10-1 06:48:31 Author: 网络与安全实验室(查看原文) 阅读量:17 收藏

每周文章分享

2022.09.26-2022.10.02

标题: A Multi-Channel MAC Protocol With Retrodirective Array Antennas in Flying Ad Hoc Networks

期刊: IEEE Transactions on Vehicular Technology, vol. 70, no. 2, pp. 1606-1617, Feb. 2021.

作者: Tian Xie, Haitao Zhao, Jun Xiong, and Nurul I.S arkar.

分享人: 河海大学——程泓毅

01

研究背景

BACKGROUND

研究背景

由于具有低成本、通用性和灵活性的特点,几个无人机之间以Ad Hoc方式合作形成一个飞行Ad Hoc网络(FANET)正在广泛应用于各种军事和民用应用。

在配置FANET时,最重要的挑战之一是基于天线和信道资源设计良好的媒体访问控制(MAC)协议,以实现高效的数据传输。无人机通常被认为装有全向天线,因此,大多数MAC协议的研究都是基于全向天线的。然而,全向天线很容易被拦截。此外,随着网络负载的增加,同时传输数据的可能性也会增加,从而导致更多的干扰、冲突和网络性能恶化。

将反向阵列天线与多信道相结合适合于FANETs的并行传输。联合的频域和空域为缓解资源竞争带来了巨大的好处。然而,定向传输在FANETs中仍然面临着非常具有挑战性的问题,包括隐藏终端、耳聋和波束对准问题。

02

关键技术

TECHNOLOGY

关键技术

在本文中,将后向阵列天线与多信道相结合,提出了一种使用反向阵列天线的FANETs多信道MAC协议(FA-MMAC)来解决部署反向阵列天线的问题。该协议讨论了半双工通信中单跳范围内节点的接入机制,以及基于反向阵列天线的定向网络环境下各节点的接入控制。它包括一个有效的机制,确保通信对之间的波束对齐,并更有效地减少隐藏终端和耳聋问题。

该方法的创新和贡献如下:

1)通过划分子信道和多路复用多个波束从空间和频率域分配资源,并提出一种充分利用FANETs中反向阵列天线的多信道MAC协议:FA-MMAC。

2)改进了传统的可用信道列表(ACL),解决了定向传输下的干扰问题、隐藏终端问题和失聪问题。对系统进行了重新设计,以提高无人机之间的并行传输能力。

03

算法介绍

ALGORITHMS

算法介绍

在本文提出的FA-MMAC中,设计了一个多信道结构来避免定向传输中的隐藏终端和耳聋问题。在这种结构中,时间轴分成几个信标帧,每个信标帧又分成一个控制窗口(CW)和一个数据窗口(DW)。然后,在CW中,节点使用新的控制帧轮询传输机制来执行DW中的多信道协商和天线波束对准。同时,针对FA-MMAC的多通道多波束结构,还设计了可用通道和波束列表(ACBL)。每个节点通过保持自己的ACBL来避免定向干扰。

1. 天线模型

图1 天线的信号能量分布

来自全向天线的信号的电磁能量如图1(a)所示。它分布在一个大的空间区域,而只有一小部分被预定的接收器接收。

反向阵列天线有两种发射模式:全向发射和定向发射。其定向模式的电磁能量如图1(b)所示。通过改变天线阵列,电磁波可以在某些方向增强,在其他方向减弱。此外,后向阵列天线还可以控制发射功率,在与全向天线相同距离的所有天线扇区内发送信号。

在本文中,开发了一个反向阵列天线的模型,如图2所示。文中把天线的波束分成M (M是偶数)个固定方向,天线可以选择其中任何一个方向发射。当天线接收到信号时,它可以自动对准来波方向并记录对准的波束号。

图2 天线模型

2. FA-MMAC方法 

本文定义了一种支持反向阵列天线的多通道结构。如图3所示,时间轴被分成几个信标帧,每个信标帧指定一个用于控制协商的时间窗口和一个用于数据传输的时间窗口。在控制窗口(CW)中,网络中的所有节点切换到临时控制信道(CCH),以协商信道和波束的使用,然后在数据窗口中协商的信道和波束上传输数据。CCH是由节点预先约定的。需要注意的是,A-B的传输不会影响数据窗口(DW)中的E-F,这是由于在反向阵列天线下的空间可重用性,因此不会发生冲突。CW中没有专门的控制信道,而是由一个数据信道临时充当控制信道,提高了信道利用率。通过分离控制窗口和数据窗口,可以有效地避免控制帧和数据帧之间的冲突,并解决反向阵列天线带来的方向性隐藏终端和困难等问题。这种结构要求所有节点同步,本文使用GPS定位方法。

图3 多信道结构

在传统的基于时隙划分的多信道MAC协议中,节点在控制窗口中根据802.11DCF机制竞争信道,这种机制局限于全向天线的协议应用,并且不能利用反向阵列天线中的空间复用。因此,需要重新设计系统,以提高UAVs之间的并行传输能力。

每个UAV维护一个可用信道和波束列表(ACBL)来存储每个波束方向上所有信道的状态:忙(0)或可用(1)。并且根据控制帧更新ACBL。节点可以根据ACBL选择特定波束方向上的信道,并避免干扰其他UAVs的通信。在每个信标开始时重置所有节点的ACBL,然后所有节点在信标帧的控制窗口中重新预订波束和信道,并基于监控的控制帧更新它们各自的ACBL。

如果在定向发送数据的节点的波束覆盖范围内有其他发送节点使用相同的信道,则会发生干扰。例如在图4中,节点B和节点A在信道SCH1中定向发送数据,并且具有邻居节点C。如果节点C也在信道SCH1中与节点E或D一起发送,并且其波束覆盖节点B或A,则将会引起干扰。为了避免这种干扰,节点应该了解所有邻居的通信信息。它们基于该信息更新ACBL,并在信标期间在相应的波束和信道上保持静默。

图4 干扰示例

节点A和B握手成功,然后通过节点B的波束1和节点A的波束3在信道SCH1上进行定向数据传输。为了避免干扰A和B之间的通信,节点C的波束1和波束3在这个数据窗口中的SCH1上是静默的。意味着在这个信标帧中,如果C需要使用波束2或4传输数据,可以使用SCH1。如果C使用波束1或3进行传输,它不能选择SCH1,而只能选择CCH或SCH2。只有在节点B和A完成传输并释放信道SCH1之后,节点C才能在波束1和波束3上使用SCH1。

在FA-MMAC中,节点采用定向发送和全向接收的工作模式,发送循环定向控制帧。在该方案中,控制帧以循环方式连续传输,直到扫描完发送方的所有区域。如上所述,假设天线具有M个波束方向。如图5所示,将M设置为四个天线扇区。为了简化表示,使用饼图来表示天线波束扇区。在波束1的方向上,发送UAV调整天线定向发送控制帧,然后顺时针旋转方向,在波束2的方向上发送控制帧。最后,节点已经在所有波束方向上发送了控制帧。

图5 不同协议的性能比较

FA-MMAC的工作原理如图5所示。我们假设节点A有针对节点B的数据分组。

1)如图5(a)所示,源节点A在每个波束方向上依次发送RTS来搜索目的节点,携带该波束方向上可用的信道信息。节点可以知道来自ACBL的信息。

2)当目的节点接收到RTS时,它的反向阵列天线可以自动对准入射波的方向,然后在这个波束方向上从源节点的公共可用信道中选择信道。携带此信息的CTS以循环方向发送,以便其邻居可以监听通信状态。循环方向CTS的传输开始于天线的对准方向,并最终返回到图5(b)中的对准方向。

3)当源节点接收到目的节点的CTS时,其反向阵列天线可以对准目的节点。源节点确认预留的波束和信道信息,并发送携带该信息的循环定向RES,以便其邻居可以监听通信状态。圆形方向RES的传输开始于天线的对准方向,并最终返回到图5(c)中的对准方向。

4)源节点和目的节点的邻居基于监听到的CTS和响应(RES)消息更新它们的ACBL。

5)如图6所示,通过在CW中传输循环方向控制帧,通信方完成波束对准和信道预留,然后可以在DW中定向传输数据。此外,该协议设计了ACK确认和重传机制,以确保可靠的数据到达。正确接收数据并等待一小段帧间间隔(SIFS)后,接收方将ACK帧回复给发送方。发送方只有在接收到ACK帧后才能确定数据传输成功。否则,它将再次发送数据。我们设置了重传次数的上限。如果数据重传次数达到这个上限,仍然失败,数据将被丢弃。

 图6 FA-MMAC帧结构

节点根据CW中的802.11DCF机制竞争对信道的访问,并且它们的退避计数器在DW中被冻结,这意味着竞争将不受DW操作的影响。图7示出了CW期间节点间信道协商的虚拟过程。

 图7 FA-MMAC的信道协商过程

1)在初始时刻,节点G、A和C的退避计数器是2、3和6。当信道空闲时间达到DIFS时,三个节点恢复退避过程。

2)在两个退避时隙之后,节点G的退避计数器减少到0。此时,节点G向目的节点发送RTS,并开始与其进行第一次协商。

3)当信道的空闲时间再次到达DIFS时,节点A和C继续撤退。应当注意,节点G已经协商了信道和波束,它将不会在该信标期间再次竞争信道。

4)在一个退避时隙之后,节点A的退避计数器减少到0,并且它发起第二次协商。

5)此时,控制窗口结束。节点G和A切换到协商的信道进行数据传输,节点C冻结退避计数器直到下一个CW。

04

实验结果

EXPERIMENTS

实验结果

为了简化仿真模型,假设物理信道中的误码率为零,并且没有传输延迟。在一个500 m×500 m的区域内任意设置多个UAVs的坐标位置。假设所有的无人机都在同一高度飞行,并将模型简化为一个平面问题。所有的UAVs都用GPS来同步。在仿真中,比较了测量吞吐量、分组投递率和分组延迟。

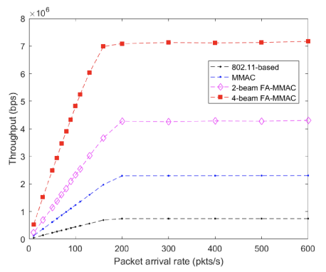
图8 FA-MMAC的吞吐量性能

图8比较了三种协议的吞吐量性能,即基于802.11的多信道MAC(MMAC)和FA-MMAC (2和4波束)。仿真发现在低到达率下,三种协议的总吞吐量接近低。然而,随着网络趋于饱和,组合的多信道和反向阵列天线可以实现更高的吞吐量。2波束和4波束FA-MMAC的吞吐量分别比MMAC提高100%和200%左右。这是因为多信道为节点提供了独立的、互不干扰的子信道来实现并行传输。FA-MMAC允许更多的节点对在同一个子信道上传输,因此其空间可重用性和信道容量都大于MMAC。

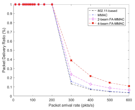
图9 数据包交付率vs数据包到达率。FA-MMAC (2和4波束)和MMAC的比较

在图9中,绘制了分组交付率相对于分组到达率的曲线。对于大于200包/秒的包到达速率,包交付率显著降低。这是因为随着数据到达率的提高,越来越多的节点竞争传输信道,导致冲突概率增加和分组丢失增加;此外,节点对到达分组的缓存大小有门限,这也是分组丢失的重要原因。虽然FA-MMAC和MMAC都使用多信道技术,但是提出的FA-MMAC将子信道分配给节点进行传输,从而降低了冲突的概率,从而允许更多的节点同时发送分组,从而获得了比802.11标准更好的分组交付率。此外,反向阵列天线进一步提高了空域的并行传输能力,因此FA-MMAC获得了比MMAC更高的分组交付率。

图10 数据包交付率vs节点数量。FA-MMAC (2和4波束)和MMAC的比较

图10显示了增加节点数量对数据包交付率的影响。FA-MMAC比MMAC具有更高的分组投递率。随着节点数目的增加,FA-MMAC的分组交付率下降速度比MMAC慢约10%-20%,这意味着提出的FA-MMAC协议非常适合大规模FANETs应用。

图11 数据包延迟与节点数的关系。FA-MMAC (2和4波束)和MMAC的比较

图11显示了FA-MMAC在不同分组到达率下的分组延迟性能。还包括了MMAC和802.11标准的分组延迟,以便进行比较。这种较低的延迟性能是由于FA-MMAC的特性,其中节点只需要等待数据窗口来进行并发传输。在高业务量负载下,所提出的FA-MAC支持更多的并发传输,从而获得更低的时延。

05

总结

CONCLUSION

总结

本文将多信道MAC与反向阵列天线相结合,提出了一种适用于FANETs的MAC协议(FA-MMAC)。FA-MMAC可以避免发射节点间的信道干扰,从而提高信道的空间复用性。当通过循环定向传输发送控制帧时,接入延迟和消耗增加。然而,与全向天线相比,反向阵列天线在相同的传输距离下需要更少的功率,可以有效地节省功耗。此外,通过控制帧和数据帧的定向传输,可以大大提高节点的通信范围和网络的空间复用性。仿真结果表明,FA-MMAC能提供比现有的802.11和MMAC协议更好的网络总吞吐量和分组投递率。

END

扫描二维码关注我们

==河海大学网络与安全实验室==

微信搜索:Hohai_Network

联系QQ:1084561742

责任编辑:何宇


文章来源: http://mp.weixin.qq.com/s?__biz=MzI1MTQwMjYwNA==&mid=2247494241&idx=1&sn=dbab683f214ddbad19afe0e5f30d6fca&chksm=e9f12a62de86a3746eb1f14ffa7e07f512fc56268c3f748bfa8c62c5b34109e09281ca8cf5ab#rd
如有侵权请联系:admin#unsafe.sh